
1. Aşağıdaki ifadeler doğruysa boş kutulara “ D ”, yanlışsa “ Y ” yazınız.

Bu fonksiyonların bileşkelerinin grafiklerinin karakter olarak f ve g fonksiyonlarından
hangisinin grafiğine benzeyeceğini sebepleriyle açıklayınız.

a. f ve g fonksiyonlarının kurallarını bulunuz.
b. g o f fonksiyonunun kuralını bulunuz.
c. ( g o f ) ( 2 ) ve ( g o f ) ( 3 ) değerleri kaçtır?
d. ( g o f ) ( a ) = 6 ise a kaçtır?

4. Gerçek sayılarda tanımlanan f ( x ) = 2 x – 3 , g ( x ) = 1 – x ve h ( x ) = 3x + 1
fonksiyonlarını kullanarak aşağıdaki fonksiyonların kurallarını bulunuz
a. ( f o g ) ( x ) b. ( g o f ) ( x )

c. ( g o h ) ( x ) d. ( h o g ) ( x )

e. ( f o h ) ( x ) f. ( h o f ) ( x )

5. Gerçek sayılar kümesinde tanımlı f ( x ) = 5 – 2 x ve g ( x ) = 3 x + 1 fonksiyonları
veriliyor. Buna göre,
a. ( f o g ) ( 2 ) kaçtır? b. ( g o f ) ( 2 ) kaçtır?

6. Sınıfınızdaki öğrencilerin kümesi A, bu öğrencilerin adreslerinin kümesi B olsun. Sınıfınızdaki öğrencilerden ikisi ikiz kardeş ise,
a. A dan B ye tanımlı, öğrencileri adreslerine eşleyen bir fonksiyon yazılabilir mi? Neden?
b. B den A ya tanımlı, öğrencilerin adreslerini öğrencilere eşleyen bir fonksiyon yazılabilir mi? Neden?
c. a ve b seçeneklerinde belirtilen fonksiyonlar yazılabiliyorsa bunların bire bir ve örten olma özelliklerini inceleyiniz.

a. ……… f 1 = { ( 1, a ), ( 3, b ), ( 5, c ) }
b. ……… f 2 = { ( 3, a ), ( 5, b ), ( 1, c ) }
c. ……… f 3 = { ( 1, c ), ( 3, c ), ( 5, a ) }
d. ……… f 4 = { ( 1, a ), ( 3, c ), ( 5, b ) }
e. ……… f 5 = { ( 5, a ), ( 3, b ), ( 1, a ) }
f. ……… f 6 = { ( 1, c ), ( 3, b ), ( 5, a ) }

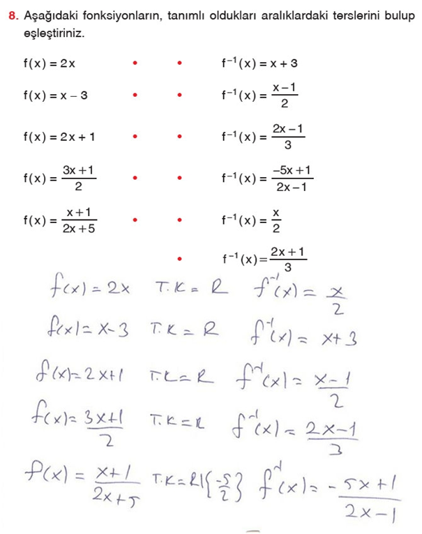
8. Aşağıdaki fonksiyonların, tanımlı oldukları aralıklardaki terslerini bulup
eşleştiriniz.

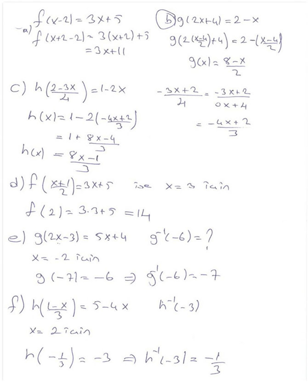
9. Gerçek sayılar kümesinde tanımlanan f, g ve h fonksiyonları için aşağıda
istenenleri bulunuz.

9. Gerçek sayılar kümesinde tanımlanan f, g ve h fonksiyonları için aşağıda istenenleri bulunuz.

10. Gerçek sayılarda tanımlı f fonksiyonu için f ( x ) = 3 – 2 x ve ( f o f ) ( a ) = 8 olduğuna göre a kaçtır?

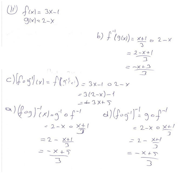
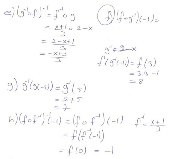
11. Gerçek sayılarda tanımlı f ( x ) = 3 x – 1 ve g ( x ) = 2 – x fonksiyonları için aşağıdakileri bulunuz.

11. Gerçek sayılarda tanımlı f ( x ) = 3 x – 1 ve g ( x ) = 2 – x fonksiyonları
için aşağıdakileri bulunuz.

11. Gerçek sayılarda tanımlı f ( x ) = 3 x – 1 ve g ( x ) = 2 – x fonksiyonları
için aşağıdakileri bulunuz.

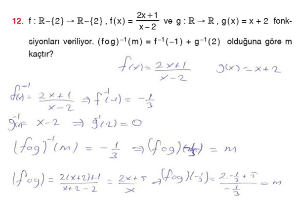
fonksiyonları veriliyor. ( f o g ) –1 ( m ) = f –1 ( –1 ) + g –1 ( 2 ) olduğuna göre m kaçtır?

13. Aşağıda grafiği verilen f ve g fonksiyonlarının ( varsa ) terslerinin grafiklerini
çiziniz. Hangi fonksiyonun tersi de bir fonksiyondur?

14. “ 96. Şekil ” de verilen f fonksiyonunun grafiğine göre aşağıda istenenleri
bulunuz.

15. “ 97. Şekil ” de f ve g fonksiyonlarının grafikleri verilmiştir. Buna göre
( f o g ) –1 ( 3 ) ifadesinin değeri kaçtır

16. Gerçek sayılarda tanımlı f ve g fonksiyonları için, f –1 ( 6 x – 1 ) = 3 x + 1

17. “ 98. Şekil ” de f fonksiyonunun grafiği verilmiştir. Buna göre,

18. Gerçek sayılarda tanımlı, bire bir ve örten f ve g fonksiyonları için,

19. Gerçek sayılarda tanımlı, f ve g fonksiyonları için g ( x ) = 3 x – 1 ve

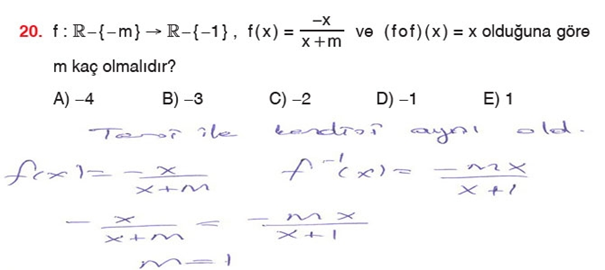
20. ( f o f ) ( x ) = x olduğuna göre m kaç olmalıdır?