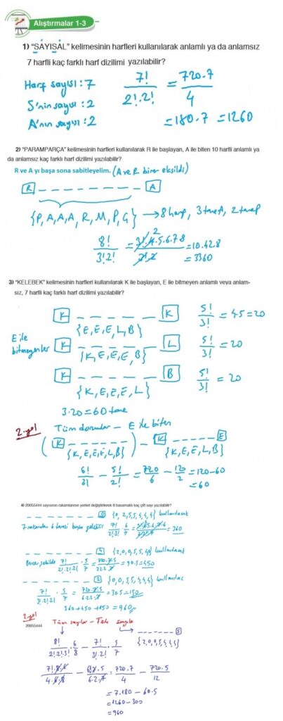
10. sınıf matematik ders kitabı anka yayıncılık sayfa 30 cevapları sayfa sayfa sitemizde bulabilirsiniz. 2022-2023 “10. sınıf matematik anka yayınları kitabı sayfa 30 cevabı” alanında uzman öğretmenlerimiz tarafından hazırlanmıştır.
10. Sınıf Matematik Anka Yayıncılık Sayfa 30 Cevapları / Cevabı

10. SINIF MATEMATİK ANKA YAYINLARI DERS KİTABI CEVAPLARI TÜM SAYFALAR
10. SINIF DERS KİTABI CEVAPLARI TÜM DERSLER
10. sınıf matematik ders kitabı anka kuşu yayınları sayfa 30 cevap anahtarı 2022-2023 sayfa olarak çözümlerini yanıtları sizler için aşağıda sunduk. 2025-2026 anka kuşu yayınevi matematik ders kitabı cevapları yine sitemizde olacak.