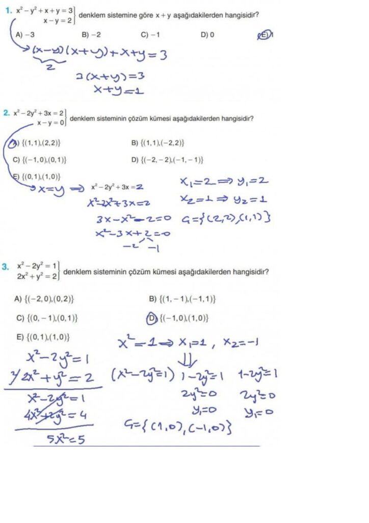
11. sınıf matematik ders kitabı anka yayınevi sayfa 196 cevapları sayfa sayfa sitemizde bulabilirsiniz. 2022-2023 “11. sınıf matematik anka yayınevi kitabı sayfa 196 cevabı” alanında uzman öğretmenlerimiz tarafından hazırlanmıştır.
11. Sınıf Matematik Anka Yayınevi Sayfa 196 Cevapları / Cevabı


11. SINIF MATEMATİK ANKA YAYINEVİ DERS KİTABI CEVAPLARI TÜM SAYFALAR
11. SINIF DERS KİTABI CEVAPLARI TÜM DERSLER
11. sınıf matematik ders kitabı anka yayınevi sayfa 196 cevap anahtarı 2022-2023 sayfa olarak çözümlerini yanıtları sizler için aşağıda sunduk. 2025-2026 anka yayınevi matematik ders kitabı cevapları yine sitemizde olacak.