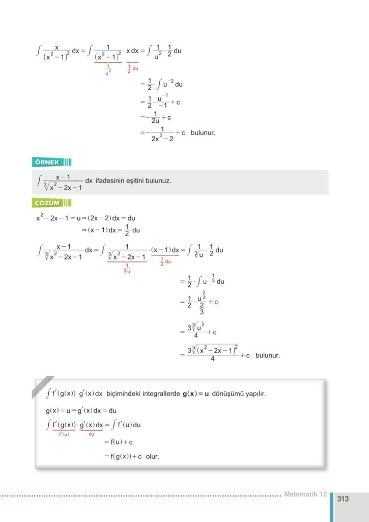
12. sınıf matematik ders kitabı meb yayınları sayfa 313 cevapları sayfa sayfa sitemizde bulabilirsiniz. 2022-2023 “12. sınıf matematik meb yayınları kitabı sayfa 313 cevabı” alanında uzman öğretmenlerimiz tarafından hazırlanmıştır.
12. Sınıf Matematik Meb Yayınları Sayfa 313 Cevapları / Cevabı

12. SINIF MATEMATİK MEB YAYINLARI DERS KİTABI CEVAPLARI TÜM SAYFALAR
12. SINIF DERS KİTABI CEVAPLARI TÜM DERSLER
12. sınıf matematik ders kitabı meb yayınları sayfa 313 cevap anahtarı 2022-2023 sayfa olarak çözümlerini yanıtları sizler için aşağıda sunduk. 2025-2026 meb yayınları matematik ders kitabı cevapları yine sitemizde olacak.