8. Sınıf Kök-e Yayıncılık Matematik Sayfa 155 Öğrendiklerimizi Uygulayalım Cevaplarını yazımızın devamından okuyabilirsiniz.
Öğrendiklerimizi Uygulayalım
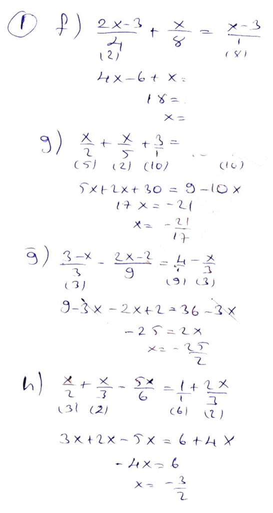
1. Aşağıdaki denklemleri sağlayan x değerlerini bulunuz.


2. Aşağıda verilen denklemin çözüm basamaklarının ilk hangisinde hata yapılmıştır?
Cevap : 3 Adım
3. Bir sınıfın 2/5’si kızdır. Sınıfta 18 erkek öğrenci olduğuna göre sınıf mevcudu kaçtır?
4. Bir top kumaşın önce 1/4’i sonra kalan kısmının 1/6’i satılıyor. 7 m kumaş kaldığına göre bir top kumaş kaç m’dir?
5. 2x + 6 / 4 = 3x – a denklemini sağlayan x değeri 1 ise a kaçtır?
A) –10 B) –5 C) 1 D) 5
