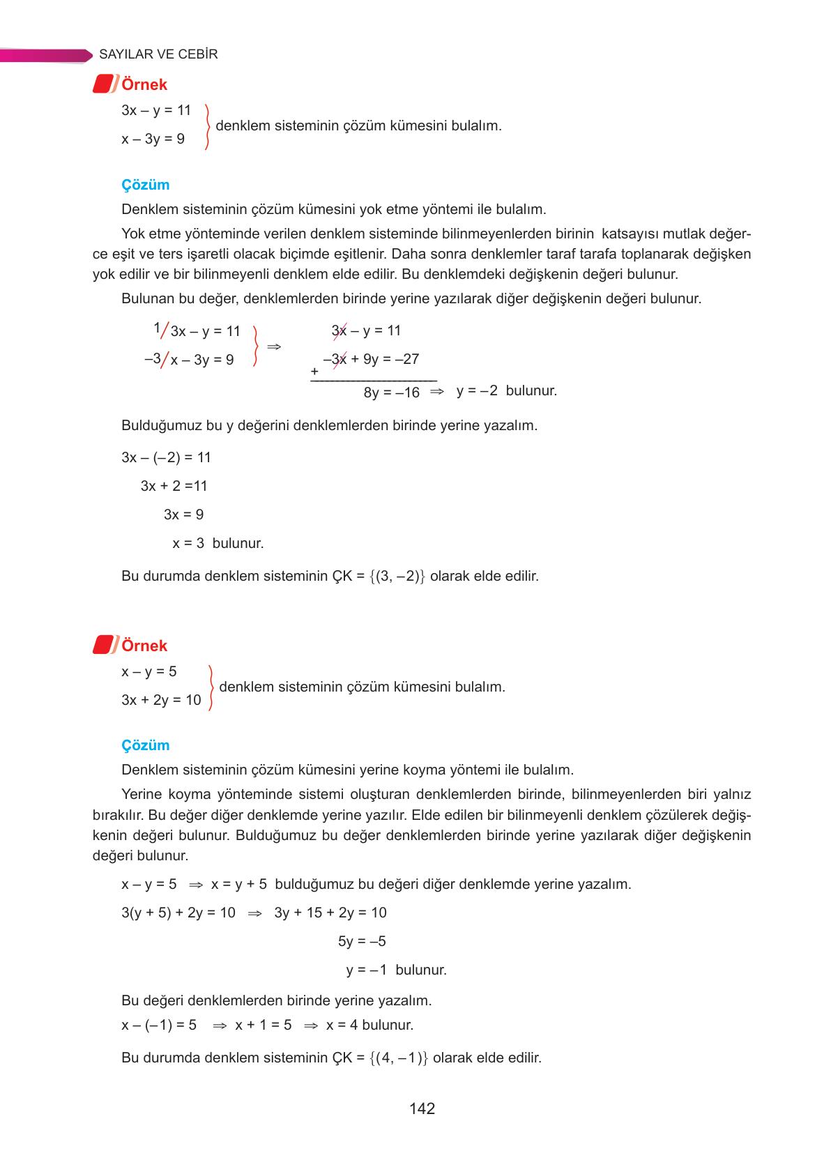
9. sınıf matematik ders kitabı ata yayıncılık sayfa 142 cevapları ders kitabı cevaplarım’da. “9.sınıf matematik ders kitabı ata yayınevi sayfa 142 cevabı” açıklaması için aşağıdaki görsele bakabilirsiniz.
9. Sınıf Matematik Ders Kitabı Ata Yayıncılık Sayfa 142 Cevapları

9. SINIF MATEMATİK ATA YAYINCILIK DERS KİTABI CEVAPLARI TÜM SAYFALAR
BU DERS İLE İLGİLİ ONLINE TEST ÇÖZMEK VEYA PDF TEST İNDİRMEK İÇİN TIKLAYINIZ
TÜM KADEMELERİN CEVAP ANAHTARLI YAZILI SORULARI İÇİN TIKLAYINIZ
9.sınıf matematik ders kitabı ata yayınları sayfa 142 cevap anahtarı cevabı sayfa olarak çözümlerini yanıtları sizler için sunduk. Tüm ders kitabı cevapları gelecek yıl yine sitemizde olacak.