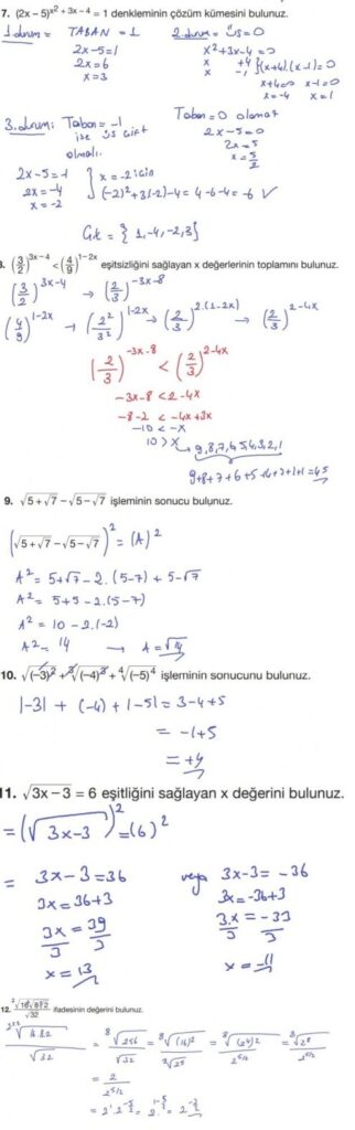
9. sınıf matematik ders kitabı pasifik yayınları sayfa 139 cevapları sayfa sayfa sitemizde bulabilirsiniz. 2022-2023 “9. sınıf matematik ders kitabı pasifik yayınları kitabı sayfa 139 cevabı” alanında uzman öğretmenlerimiz tarafından hazırlanmıştır.
9. Sınıf Matematik Pasifik Yayınları Sayfa 139 Cevapları / Cevabı


9. SINIF MATEMATİK PASİFİK YAYINLARI DERS KİTABI CEVAPLARI TÜM SAYFALAR
9. SINIF DERS KİTABI CEVAPLARI TÜM DERSLER
9. sınıf matematik ders kitabı pasifik yayınları sayfa 139 cevap anahtarı 2022-2023 sayfa olarak çözümlerini yanıtları sizler için aşağıda sunduk. 2025-2026 pasifik yayınları matematik ders kitabı cevapları yine sitemizde olacak.