
1. Aşağıda verilen tablodaki boş kutuları fonksiyonlara göre doldurunuz.

2. Derecesi 5 olan ve üç terimden oluşan bir polinom yazınız.

3. Aşağıdaki polinomlardan sabit polinom ya da sıfır polinomu olanları belirleyiniz.

4. P ( x ) = 3 m x 5 – ( 1 – 2 b ) x 4 + ( c + 3 ) x 3 – 4 x 2 – 1 ve

5. Aşağıdaki ifadeler doğruysa boş kutulara “ D ” , yanlışsa “ Y ” yazınız.

6. Belli bir özelliğe sahip bir çiçeğin ebeveynlerinden kalıtımla kazanacakları
genleri R ve 1 olsun. ( R + 1 ) 2 ifadesinin açılımı olan polinomun terimleri
yeni oluşan çiçeğin olası gen çiftlerini gösterir. ( R + 1 ) 2 ifadesini
polinom şeklinde yazınız. Bu polinomun katsayılar toplamını bulunuz.

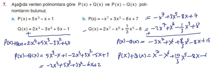
7. Aşağıda verilen polinomlara göre P ( x ) + Q ( x ) ve P ( x ) – Q ( x ) polinomlarını
bulunuz.

8. İnternet üzerinden e-ticaret yapan küçük bir işletme, bir ürünün x adedinin
satışından 10 x TL gelir elde etmektedir. Bu ürünün x adedinin
firmaya olan maliyeti ise 0,02 x 2 + 500 ifadesi ile bulunabilmektedir.
Buna göre;
a. Ürünün satışından elde edilen kârı ifade eden polinomu bulunuz.
b. Firma bu üründen 200 tane satarsa elde edeceği kâr kaç TL olur?

9. P ( x ) + P ( x + 1 ) = 4 x + 6 olduğuna göre P ( x ) polinomu aşağıdakilerden
hangisidir?
A) x + 2 B) x + 3 C) 2x + 2 D) 2x + 3 E) 3x + 2

10. P ( x ) = 2 x 3 – 3 x 2 + 1 , Q ( x ) = x 2 – 5 x ve R ( x ) = x – 1 ise aşağıda
verilen işlemlerin sonuçlarını, karşısında verilenler arasından bularak
eşleştiriniz.

11. 2 x 2 . ( 2 x – 1 ) . ( x 3 + 3 x 2 – 4 ) çarpımından elde edilen polinomda, x 3 lü
terimin katsayısı kaçtır?

12. olduğuna göre a + b nin değeri nedir?

13. “11. Şekil”de boyalı bölgenin alanı için bir polinom oluşturunuz. Bu polinomu
kullanarak x = 2 için boyalı bölgenin alanını bulunuz.

14. Aşağıda verilen P ( x ) polinomlarının Q ( x ) polinomlarına bölümünden
elde edilen bölümleri ve kalanları bulunuz.

15. Aşağıda verilen P ( x ) polinomlarının Q ( x ) polinomlarına bölümünden
elde edilen bölüm polinomunun kaçıncı dereceden olduğunu karşılarından
bularak eşleştiriniz.

16. Bir bölme işleminde bölen – x + 1 , bölüm x 2 + 3 x ve kalan 3 ise bölünen
nedir?

17. Bir fabrika, ürettiği bir ürünün x tanesinin toplam maliyetini
x 3 + 2 x 2 + 5 x TL olarak hesaplamaktadır. Toplam maliyetin üretilen
ürün sayısına bölünerek bulunan ortalama maliyeti gösteren ifadeyi bulunuz.

18. Aşağıdaki tabloyu verilen polinomlara göre doldurunuz.

19. x – 2 ile bölündüğünde elde edilen kalanı 7 olan bir polinom bulunuz.

20. P ( x ) = a x 5 + b x 4 + c x 3 + d x 2 + e x + f polinomunda
a + b + c + d + e + f = 0 ise bu polinomun x – 1 ile tam bölündüğünü
gösteriniz.

21. Aşağıdaki P ( x ) polinomlarının Q ( x ) polinomlarına bölündüğünde
elde edilen kalanları karşı sütundan bularak eşleştiriniz.

22. Dikdörtgen şeklindeki bir tarlanın alanı x 3 + 3 x 2 + 3 x + 1 , kısa kenar uzunluğu ise x + 1 polinomu ile ifade ediliyor. Buna göre tarlanın uzun kenarını belirten polinomu bulunuz.