
1. Aşağıdaki birinci sütunda verilen ifadeleri ikinci sütundaki çarpanlarına ayrılmış hâlleriyle eşleştiriniz

2. Aşağıdaki ifadeleri çarpanlarına ayırınız

2. Aşağıdaki ifadeleri çarpanlarına ayırınız

2. Aşağıdaki ifadeleri çarpanlarına ayırınız

2. Aşağıdaki ifadeleri çarpanlarına ayırınız

3. Aşağıdaki şekillerde verilen boyalı alanları gösteren ifadeleri bulup çarpanlarına
ayırınız.

4. Bir karenin çevresi, ( 8 a + 28 b) cm dir. Buna göre bu karenin alanının
cm 2 türünden ifadesi aşağıdakilerden hangisidir?

5. Ahmet Bey, Borsa İstanbul’un açılış saatinde tanesi 3 TL olan hisselerinden
x 2 tanesini satıyor. Bir sonraki saatte tanesi 6 TL olan hisselerinden
satıyor. Birinci saat sattığı hisselerin sayısı, ikinci saat sattığı
hisselerin sayısından 6 fazladır. Eğer Ahmet Bey, iki saat boyunca sadece
tanesi ( 3 x – 6 ) TL olan hisselerinden satmış olsaydı ilk iki satıştan
aldığı toplam parayı kazanması için kaç hisse satması gerekirdi?

6. Aşağıdaki ifadeleri çarpanlarına ayırınız.

6. Aşağıdaki ifadeleri çarpanlarına ayırınız.

6. Aşağıdaki ifadeleri çarpanlarına ayırınız.

6. Aşağıdaki ifadeleri çarpanlarına ayırınız.

6. Aşağıdaki ifadeleri çarpanlarına ayırınız.

7. Aşağıdaki ifadelerin özdeşlerini bulunuz.

8. Aşağıdaki çarpımları, iki kare farkı özdeşliğinden yararlanarak bulunuz.
a. 39 . 41 b. 46 . 54 c. 17 . 23 d. 37 . 43

9. Aşağıdaki çarpma işlemlerini yapınız.

10. Aşağıda, birinci sütunda verilen ifadelerin özdeşlerini ikinci sütundan bularak
bunları eşleştiriniz.

11. Aşağıdaki noktalı yerleri uygun değerlerle doldurunuz.
a. a + b = 17 ve a 2 + b 2 = 145 ise a . b = …………..
b. a – 2b = 3 ve a . b = 2 ise a 2 + 4 b 2 = …………..
c. a + b = 12 ve a – b = 6 ise a . b = …………..

11. Aşağıdaki noktalı yerleri uygun değerlerle doldurunuz.

12. Aşağıdaki ifadelerin açılımlarını bulunuz.

13. Aşağıdaki ifadelerin özdeşlerini yazınız.

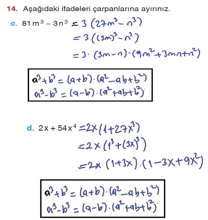
14. Aşağıdaki ifadeleri çarpanlarına ayırınız.

14. Aşağıdaki ifadeleri çarpanlarına ayırınız.

14. Aşağıdaki ifadeleri çarpanlarına ayırınız.

14. Aşağıdaki ifadeleri çarpanlarına ayırınız.

14. Aşağıdaki ifadeleri çarpanlarına ayırınız.

15. Aşağıdaki ifadeler doğruysa boş kutulara “ D ” , yanlışsa “ Y ” yazınız.

15. Aşağıdaki ifadeler doğruysa boş kutulara “ D ” , yanlışsa “ Y ” yazınız.

15. Aşağıdaki ifadeler doğruysa boş kutulara “ D ” , yanlışsa “ Y ” yazınız.

16. Aşağıdaki polinomları, terim ekleyip çıkararak çarpanlarına ayırınız.

16. Aşağıdaki polinomları, terim ekleyip çıkararak çarpanlarına ayırınız.

16. Aşağıdaki polinomları, terim ekleyip çıkararak çarpanlarına ayırınız.

17. Aşağıdaki ifadeleri çarpanlarına ayırınız.

17. Aşağıdaki ifadeleri çarpanlarına ayırınız.

18. Bir motosiklet yarışında, parkur 36 km dir. Bir yarışçının parkurun ikinci
yarısındaki ortalama hızı, ilk yarısındaki ortalama hızından 3 km / saat
daha azdır. Buna göre aşağıdaki ifadelerde noktalı kısımları doldurunuz.
a. Yarışçının parkurun ilk yarısındaki ortalama hızı x k m / saat ise yarışçı,
parkurun ilk yarısını …………………… saatte bitirmiştir.
b. Yarışçı, parkurun ikinci yarısını …………………… saatte bitirmiştir.

19. Aşağıdaki işlemleri yapınız.

19. Aşağıdaki işlemleri yapınız.

20. Aşağıdaki işlemlerin sonuçlarını en sade biçimde yazınız.
