10. Sınıf Meb Yayınları Matematik Fonksiyonlar Sayfa 109 Alıştırmalar Cevaplarını yazımızın devamından okuyabilirsiniz.
ALIŞTIRMALAR
1. Reel sayılar kümesinde tanımlı f ve g fonksiyonları için f(x) = (a + 3)x + b – 2 , g(x) = 5x – a – 6 ve f(x) = g(x) olduğuna göre a x b işleminin sonucunu bulunuz.
f(x) = g(x) ise
(a + 3)x + b – 2 = 5x – a – 6
a + 3 = 5
a = 2
b – 2 = -a – 6
b = -a – 6 + 2
b = -2 – 4
b = -6
a x b = 2 x -6 = -12
2. g : R -> R olmak üzere g(2x + 5) = (a + 1)x2 + (b – 2)x + c + 7 fonksiyonu birim fonksiyon olduğuna göre a . b . c işleminin sonucunu bulunuz.
g birim ise
g(2x + 5) = 2x + 5
2x + 5 = (a + 1)x2 + (b – 2)x + c + 7
0 2 5
a = -1
b = 4
c = -2
a . b . c = (-1) . 4 . (-2) = 8
3. f: R -> R, f(x) = (2 + a)x5 – 3x4 + (b – 3)x3 – 6 fonksiyonu çift fonksiyon olduğuna göre a – b ifadesinin değerini bulunuz.
f(x) çift ise x2n+1‘in katsayısı 0’dır.
Yani üssü tek olan katsayısı 0’dır.
a + 2 = 0 a = -2
b – 3 = 0 b= -3
a – b = -2 -3 = -5
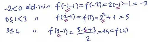
4. f : R -> R olmak üzere
olduğuna göre f(-2) + f(1) + f(4) değerini bulunuz.

5. f : R ” R, g:R -> R olmak üzere
f(x) = 11x – 1, g(x) = x + 1 fonksiyonları veriliyor. Buna göre
a) (f + 2g) (7) ifadesinin değerini bulunuz.
b) (f . g) (4) ifadesinin değerini bulunuz.
c) (f/g)(2) ifadesinin değerini bulunuz.

6. f = “(-1, 0), (0, 2), (1, 3), (2, 4) ,
g = “(0, 1), (2, 1), (3, 5), (4, 1) , fonksiyonları veriliyor. Buna göre
a) (f – 2g) (0) ifadesinin değerini bulunuz.
b) (3f + 4g) (2) ifadesinin değerini bulunuz.

7. 48 litrelik benzin deposu bulunan A aracı saatte 6 litre, 30 litrelik benzin deposu bulunan B aracı saatte 3 litre benzin tüketmektedir. A ve B araçlarının benzin deposu tam dolu iken bu araçlar kesintisiz yol alıyor. Aynı anda harekete başlayan bu iki aracın deposunda kalan benzin miktarını gösteren bir yakıt-zaman grafiği çizip harekete başladıktan kaç saat sonra depolarında eşit miktarda benzin kalacağını bulunuz.

8. A ve B okullarının bazı yıllara ait öğrenci sayıları yukarıdaki tabloda verilmiştir. A okulunun öğrenci sayısının bir önceki yıla göre aynı miktarda artmakta, B okulunun öğrenci sayısının ise bir önceki yıla göre aynı miktarda
azalmakta olduğu bilindiğine göre bu iki okulun hangi yılda öğrenci sayılarının eşit olacağını bulunuz.

9. f : R ” R doğrusal fonksiyon olmak üzere
f(x + 1) + f(x – 1) = 10x – 12 fonksiyonu veriliyor. Buna göre f(-2) değerini bulunuz.

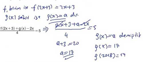
10. f : R ” R birim fonksiyon,
g : R ” R fonksiyonu sabit fonksiyon olmak üzere fonksiyonu veriliyor.
Buna göre g(2018) ifadesinin değerini bulunuz.

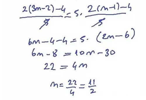
11. f : R -> R ve f(x) = 2x – 4 / 5 için f(3m- 2) = 5 $ f(m- 1) olduğuna göre m değerini bulunuz.

Cevap Anahtarı : 1. -12 2. 8 3. -5 4. 16 5. a) 92 b) 215 c) 7 6. a) 0 b) 16 7. 6 8. 2076 9. -16 10. 17 11. 11/2