10. Sınıf Meb Yayınları Matematik Sayfa 172, 173 Alıştırmalar Cevaplarını yazımızın devamından okuyabilirsiniz.
AIŞTIRMALAR
1. P(x) = -3×3 + 6×2 – 7x + 2 ve
Q(x) = x4 – x3 + 6×2 – x polinomları veriliyor.
Buna göre
a) x $ P(x) + 3 $ Q(x) işleminin sonucunu bulunuz.
b) -2 $ P(x) + x2 $ Q(x) işleminin sonucunu bulunuz.

2. a ! 0 ve a ! R olmak üzere (-4×5 + ax4 – 2×3 + 3) $ (x2 – 3x + 4) çarpımından elde edilen ifadede x5 li terimin katsayısı -6 olduğuna göre a sayısının değerini bulunuz.

3. P(x) = -5×5 + 3×4 – x2 – 6x + 4 polinomunun Q(x) = x3 – x2 + 2 polinomu ile bölümünden elde edilen bölüm polinomu ve kalan polinomunun toplamını bulunuz.

4. P(x) Q(x) B(x) 2×3 – x2 + 1
Yukarıdaki bölme işleminde Q(x) ve B(x) polinomlarının derecesi eşit olduğuna göre der7P2(x) $ Q(x)A in alabileceği en küçük değeri bulunuz.

5. P(x) = 2×3 – 3×2 + 6 polinomu veriliyor. Buna göre
a) P(x) polinomunun x + 2 ile bölümünden kalanı bulunuz.
b) P(x – 3) polinomunun x – 5 ile bölümünden alanı bulunuz.
c) x2 $ P2(x – 2) polinomunun x – 1 ile bölümünden kalanı bulunuz.

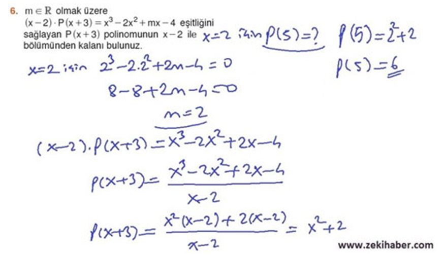
6. m ! R olmak üzere
(x – 2) $ P(x + 3) = x3 – 2×2 +mx – 4 eşitliğini sağlayan P(x + 3) polinomunun x – 2 ile bölümünden kalanı bulunuz.

7. 3. dereceden bir P(x) polinomu ile ilgili aşağıdaki bilgiler verilmektedir.
• P(x) polinomu x2 + 1 ile tam bölünen bir polinomdur.
• P(x) polinomunun baş katsayısı -2 dir.
• P(x) polinomunun sabit terimi -12 dir.
Bu bilgiler yardımıyla
a) P(x) polinomunun katsayılar toplamını bulunuz.
b) P(x + 3) polinomunun x + 5 ile bölümünden kalanı bulunuz.

8. P(x) = x + 4 polinomu veriliyor.
24 $ P(1) $ P(2) $ P(3) $ … $ P(24) çarpımının sonucunu bulunuz.

9. P(x) = x4 + 8×3 + 22×2 + 24x + 9 polinomunun kareköklerinden biri x2 +mx + n olduğuna göre m+ n nin alabileceği değeri bulunuz..

10. P(x) ! 0 ve der6P(x)@ 2 1 olmak üzere Q(x) = (x2 + 4x + 2) $ P(x) + 6x – 2 olduğuna göre Q(x) polinomunun P(x) polinomu ile bölümünden elde edilen bölüm ve kalan polinomlarının toplamını bulunuz.

11. Q(x) bir polinom olmak üzere Q(x – 1) + Q(x + 1) = -6x + 10 olduğuna göre Q(x) polinomunun x + 5 ile bölümünden kalanı bulunuz.

12. Bir P(x) polinomunun x2 – 25 ile bölümünden kalan 2x + 6 olduğuna göre P(x) polinomunun x – 5 ile bölümünden kalanı bulunuz.

13. P(x) bir polinomdur.
P(2x) – P(-2x) = -8×3 + 12x + 17 olduğuna göre P(x) polinomunun tek dereceli terimlerinin katsayılarının toplamını bulunuz.

14. 2. dereceden Q(x) polinomu, x – 2 ve x – 3 ile tam bölünen bir polinomdur. Buna göre değerini bulunuz.

15. P(x) = -2×9 + 6×6 – 3×5 + x3 + 9×2 + 1 polinomunun x – 3 3 ile bölümünden kalanı bulunuz.
