10. Sınıf Meb Yayınları Matematik Binom Açılımı Sayfa 55 Alıştırmalar Cevaplarını yazımızın devamından okuyabilirsiniz.
10. Sınıf Meb Yayınları Matematik Binom Açılımı Sayfa 55 Alıştırmalar Cevapları
ALIŞTIRMALAR
1. (x – 3y)3 ifadesinin açılımını yazınız.

2. (7x2 – 2)10 ifadesinin açılımındaki sabit terimi bulunuz.

3. (6x – 5y)20 ifadesinin açılımındaki katsayılar toplamını bulunuz.
x = y = 1 olmalı
(6 – 5)20 = 120 = 1
4. n € N olmak üzere (3a2 – 4b)n ifadesinin açılımında 10 terim bulunduğuna göre bu terimlerin katsayıları toplamını bulunuz.
10 terim varsa n = 9
a = b = 1
(3a2 – 4b)9 = (3 – 4)9 = -19 = -1
5. (3x – y2)10 ifadesinin açılımındaki y8 li terimin katsayısını bulunuz.

6. (a2 – b3)6 ifadesinin a2 nin azalan kuvvetlerine göre açılımında ortadaki terimi ulunuz.

7. (3x + 2b)7 ifadesinin x in azalan kuvvetlerine göre açılımında baştan 6 ncı terimi bulunuz.

8. (a + 2 / a2)5 ifadesinin açılımındaki sabit terimi bulunuz.

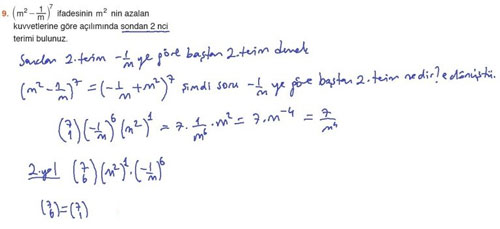
9. (m2 – 1 / m) ifadesinin m2 nin azalan kuvvetlerine göre açılımında sondan 2 nci terimi bulunuz.

10. (a3 + 2ab2)6 = a18 + …. + A . a12bn + … olduğuna göre A + n yi bulunuz.

CEVAP ANAHTARI : 1. x3 – 9x2y + 27xy2 – 27y32. 2103. 1 4. -1
5. 70 . 376. -20 . a6 . b97. 6048 . x2 . b58. 80 9. 7 . m-410. 166