8. Sınıf Kök-e Yayıncılık Matematik Sayfa 202, 203, 204, 205 4. Ünite Değerlendirme Soruları ve Cevaplarını yazımızın devamından okuyabilirsiniz.
4. Ünite Değerlendirme Soruları ve Cevapları
1. Aşağıdaki doğru denklemleriyle doğruların eğimlerini eşleştiriniz.
2. Aşağıda verilen doğrulardan hangisinin eğimi diğerlerinden farklıdır?
Her bir şıkta y yi yalnız bırakıp x in önündeki katsayıyı bulmamız gerek arkadaşlar. Sırasıyla gidelim.
A) x = 2y için y = 1/2.x olur
B) 2y – 4x = 0 için y = 2x olur.
C) y = 2X –2 için 2x – 2 zaten
D) y – 2x – 2 = 0 için y = 2x + 2 olur.
Görüldüğü üzere A şıkkında x in önündeki katsayı 1/2, diğer şıklarda ise 2 dir.
Bu durumda A şıkkının eğimi diğerlerinden farklıdır.
Cevap : A
3. Yukarıdaki dağın eğimi aşağıdakilerden hangisidir?
A)2/3 B)-2/3 C)-3/2 D) 3/2
Eğim formülümüz y=mx ti.
Burada x= – 80, y=120 dir. Değerleri formülde yerine koyarsak
y=mx den 120 = m. -80 olur. Buradan da
m= -80/120 olur. Sadeleştirirsek;
Eğimi m = -2/3 olarak buluruz. Yanıtımız B şıkkıdır.
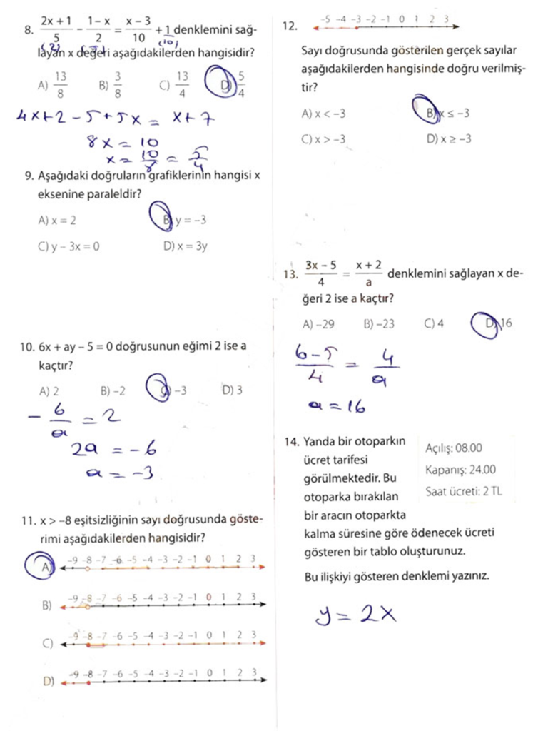
4. denklemini sağlayan x değeri aşağıdakilerden hangisidir?
Cevap : B
5. 3x – 4y = 12 doğru denkleminin grafiğinin, eksenleri kestiği noktalar aşağıdakilerden hangisinde doğru verilmiştir?
Doğru yanıtımız C şıkkıdır arkadaşlar.
C şıkkındaki değerleri x ve y için yerlerine koyarsak eşitlik sağlanıyor.
Örnek olarak; x yerine 4, y yerine de 0 koyarsak
3x – 4y = 12 için
3.4 – 4.0 = 12
12 = 12 eşitliği sağlanmış olur.
Cevap : C
6. Ayşe, burs verdiği üniversite öğrencisine doğum günüde hediye alacaktır. Bunun için 200 TL olan parasına her ay 50 TL eklemektedir. Ay sayısına x, biriken paraya y dersek, ay ve biriken para arasındaki ilişki aşağıdakilerden hangisidir?
Başlangıçta 200 lira parası olduğuna göre eşitlikte + 200 ün olması gerekiyor.
Her ay da 50 lira eklediğine göre ve ay sayısına da x dendiğine göre her ay için 50x kadar ekleme olacaktır.
O halde eşitsizliğimiz B şıkkı y = 200 + 50x olur.
Cevap : B
7. Aşağıdaki doğru denklemlerinin hangisinin grafiği orijinden geçer?
y=mx şeklindeki denklemlerin grafiği orjinden geçer arkadaşlar.
Bu durumda A şıkkındaki 2y – 5x = 0 denkeminin grafiği orjinden geçer
2y – 5x = 0
2y = 5x
y = 5x/2 olur Bu da y=mx kuralına uyumludur.
Cevap : A
8. denklemini sağlayan x değeri aşağıdakilerden hangisidir?
9. Aşağıdaki doğruların grafiklerinin hangisi x eksenine paraleldir?
x eksenine paralel olması için denklemde x in olmaması gerekiyor.
Bu koşuluda sadece B şıkkı sağlıyor arkadaşlar.
10.6x + ay – 5 = 0 doğrusunun eğimi 2 ise a kaçtır?
6x + ay – 5 = 0 denkleminde y yi yalnız bırakıp x in önündeki katsayıyı bulmamız gerekiyor. Çünkü x in önündeki katsayı bize eğimi verir ve eğim de 2 olarak verilmiş.
6x + ay – 5 = 0
ay = -6x + 5
y = -6/a.x + 5/a O halde
-6/a = 2 den a = -3 olarak buluruz.
11. x > -8 eşitsizliğinin sayı doğrusunda gösterimi aşağıdakilerden hangisidir?
12. Sayı doğrusunda gösterilen gerçek sayılar aşağıdakilerden hangisinde doğru verilmiştir?
13. denklemini sağlayan x değeri 2 ise a kaçtır?
14. Yanda bir otoparkın ücret tarifesi görülmektedir. Bu otoparka bırakılan bir aracın otoparkta kalma süresine göre ödenecek ücreti gösteren bir tablo oluşturunuz.
Bu ilişkiyi gösteren denklemi yazınız.
Saat ücreti 2 TL verildiği için y= 2x olur
15. Yukarıda grafiği verilen doğrunun eğimi aşağıdakilerden hangisidir?
16. Aşağıda verilen tam sayılardan hangisi -2x + 3 > 5 eşitsizliğini sağlayan tam sayılardan biridir?
17. 2 – 4x < 3x – 12 eşitsizliğini sağlayan x değerleri aşağıdakilerden hangisidir?
Soruda verilen eşitsizlikte x değerini yalnız bırakmamız gerekiyor
2 – 4x < 3x – 12
2 + 12 < 3x + 4x
14 < 7x
2 < x olarak cevabı buluruz.
18. “Bir sayının iki katının 3 eksiği, o sayının 5 katından büyüktür.”cümlesinin cebirsel ifadesi aşağıdakilerden hangisidir?
Sayımıza x dersek arkadaşlar
2x – 3 > 5x olur. Yani doğru yanıtımı A şıkkıdır.
19. 3(x – 5) < -6 eşitsizliğini sağlayan x değerleri aşağıdakilerden hangisidir?
20. d, doğrusunun eğimi m, d2 doğrusunun eğimi m2 d3 doğrusunun eğimi m3 olmak üzere doğruların eğimlerini bulunuz.
21. denklemini sağlayan x değeri aşağıdakilerden hangisidir?
22. denklemini sağlayan tam sayı aşağıdakilerden hangisidir?
23. 2x – 5 > 7 eşitsizliğini aşağıdakilerden hangisi sağlamaz?
x i yalnız bırakarak soruyu çözelim
2x – 5 > 7
2x > 12
x > 6
Bu durumda D şıkkı eşitsizliği sağlamaz
24. (m + 1) x – 8 = O denklemini sağlayan x değeri 4 ise m kaçtır?
x yerine 4 koyalım arkadaşlar.
(m + 1) x – 8 = 0
(m + 1) 4 – 8 = 0
4m + 4 – 8 = 0
4m = 4
m = 1 olur.
25. 4x – 2y + 3 = O eşitliğindeki değişkenler birbirleri cinsinden yazılmıştır. Bunlar doğru ise kutucuklara “D”, yanlış ise “Y” yazınız
26. 3(x – 7) + 5(x – 3) = 6x + 4 denklemini sağlayan sayı aşağıdakilerden hangisidir?
x’i yalnız bırakarak soruyu çözmeye çalışalım.
3(x – 7) + 5(x – 3) = 6x + 4
3x – 21 + 5x – 15 = 6x + 4
– 36 + 8x = 6x + 4
2x = 40
x = 20 olarak buluruz
27. eşitsizliğini sağlayan doğal sayılar kaç tanedir?
28. Aşağıdaki doğru denkleminden hangisinin eğimi diğerlerinden farklıdır?
29. y = mx – 5 doğrusunun B(2,3) noktasından geçmesi için eğim ne olmalıdır?
30. doğrusal denkleminde x’in y cinsinden yazılışı aşağıdakilerden hangisidir?


