9. Sınıf Matematik Ders Kitabı Meb Yayınları Sayfa 154 Alıştırmalar Soruları ve Cevaplarını yazımızın devamından okuyabilirsiniz.
ALIŞTIRMALAR
1. √2 ,7 + √0,3 / √1,2 işleminin sonucunu bulunuz.
Çözüm–>>
√27/10 + √3/10 / √12/10 (paydalar aynı olduğu için kök 10 ları yazmayabiliriz)
√27 + √3 / √12
3√3 + √3 / 2√3
4√3 / 2√3 = 2
2. a = √5 ise ( a – 8 ) . ( a + 2 ) / 4 işleminin sonucunu bulunuz.
Çözüm–>>
(√5+3-8) . (√5+3+2) / 4
√5-5 . √5+5 / 4
(a-b).(a+b) = a2-b2
5-25 / 4 = -20 / 4 = -5
3. √2 + 1 / √2 / √2 – 1 / √2 işleminin sonucunu bulunuz.
Çözüm–>>
Paydaki kökden kurtalalım.
1/√2 (√2) ile kökten kurtarırsak
√2 / 2 olur 1/√2 yazan yerlere √2 / 2 yazalım
√2 /1 + √2/2 / √2 / 1 – √2 /2
payda eşitlersek
2√2 +√2 / 2√2 – √2
3√2 / √2 kökler sadeleşirse
3
4. √6 – | x – 2 | sayısının bir gerçek sayı olabilmesi için x tam sayısının kaç farklı değer alabileceğini bulunuz.
Çözüm–>>

5. ∛5 . √5 / ⁴√5 = 5ˣ ise x değerini bulunuz.
Çözüm–>>

6. ∛16ˣ⁺¹ / ∛8ˣ⁻¹ = 4 denkleminin çözüm kümesini bulunuz.
Çözüm–>>
∛24(x+1) / ∛23(x-1) = 22
∛24x+4 / ∛23x-3 = 22
4x+4 – 3x+3 =x + 7
∛2x+7 = 2 (x+7)/3 =22
x + 7 / 3 = 2
x + 7 = 6
x = -1
Ç= {-1}
7. a < b < 0 ve a, b ∈ R olmak üzere √( a – b )² – ∛ ( b – a )³ – ⁴√a⁴ işleminin sonucunu bulunuz.
Çözüm–>>

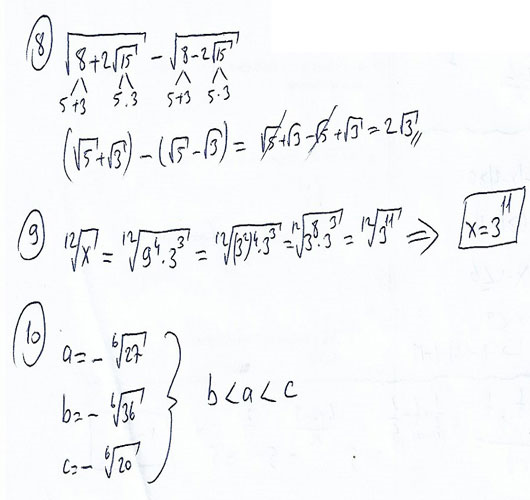
8. √8 + √60 – √8 – √60 işleminin sonucunu bulunuz.
Çözüm–>>

9. ⁴√³√x = ³√9 . ⁴√3 olduğuna göre x in değerini bulunuz.
Çözüm–>>

10. a = -√3
b = -∛6 sayılarını küçükten büyüğe sıralayınız.
c = -⁶√20
Çözüm–>> b < a < c

